Bij een gegeven brandpuntsafstand en diagfragma is de hyperfocale afstand de eerste afstand waar alles wat verder ligt scherp is. Het is de afstand met de grootste scherptediepte. Interessant is dat ook alles vanaf de helft van deze afstand scherp is. Dus een hyperfocale afstand van 60 levert een scherptediepte van 30 tot oneindig op. Wat we onder ‘scherp’ verstaan hangt van de acceptabele verstrooiingscirkel af, klein voor een kleine sensor en iets groter voor grote sensoren. Hier de elementaire wiskunde:

Voor een afleiding van bovenstaande formules, zie deze pagina.
Op basis van de laatste formule heb ik een excel-tabelletje gemaakt. Hierbij het resultaat voor twee sensorformaten, een full-frame en een crop-camera. Het tabelletje geeft het minimale diafragmagetal voor een bepaalde minimumafstand bij een bepaalde brandpuntsafstand.


De tabellen laten zien dat een groothoeklens geschikter is voor foto’s van voorwerpen op kleine afstand en een scherptediepte tot oneindig dan de langere lenzen, waarbij het vereiste diafragmagetal al snel niet meer acceptabel is (het rood gearceerde gedeelte). Zie voor het verschil tussen groothoek- en andere lenzen deze speciale pagina.
Scherptediepte
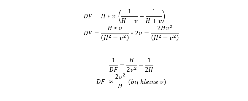
De formules voor scherptediepte gaan uit van hyperfocale afstand H. De scherptediepte is eenvoudig af te leiden als een gebied tussen een punt A vóór H en een punt B erna (eventueel oneindig).

Waarbij v de ingestelde afstand is. Het is duidelijk dat B oneindig wordt bij v = H, de hyperfocale afstand. A wordt dan H/2 zoals je mag verwachten.
Bij kleine afstanden v is de scherptediepte bijna onafhankelijk van de gekozen brandpuntsafstand. Ik kan dat met de volgende formules eenvoudig laten zien.

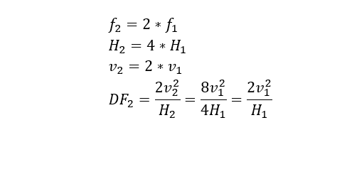
Stel dat ik hetzelfde object met een twee keer zo lange brandpuntsafstand van twee keer zo ver fotografeer, dan verandert de scherptediepte vrijwel niet. Op basis van de vereenvoudigde formule voor DF blijft die gelijk. De hyperfocale afstand H wordt vier keer zo groot. Brandpuntsafstand en afstand tot het object worden verdubbeld.

Vergroting van scherptediepte door een dichter diafragma
Stel dat ik een scherptediepte van 15 cm heb, maar door het dichtknijpen van het diafragma die scherptediepte wil verdubbelen. De scherptediepte bij niet al te grote v is omgekeerd evenredig met H. H is vrijwel omgekeerd evenredig met N, het diafragmagetal. Hieruit volgt dat de scherptediepte evenredig is met N. Wil ik een scherptediepte van 15 cm bij een diafragma 8 verhogen tot 30 cm, dan moet ik het diafragmagetal verdubbelen naar 16. Dat betekent twee stops minder belichten.
Invloed van de cropfactor op de scherptediepte
Een crop-camera heeft op dezelfde afstand met een gelijkwaardige lens een grotere scherptediepte dan een full-frame-camera. Dit volgt eenvoudig uit bovenstaande formules. Ik ga in de onderstaande formules ervan uit dat de chip van een crop-camera even veel pixels heeft als een full-frame camera en dat dus de verstrooiingscirkel bij de crop-camera met de cropfactor verkleind wordt.

Als ik dezelfde foto maak met een full-frame en een NFT-camera (crop-factor 2) dan neemt de scherptediepte met een factor 2 toe. Wil ik de scherptediepte weer gelijk instellen aan die van de full-frame camera dan moet ik het diafragmagetal halveren. De lens kan twee stops verder open. De Sony RX 10 IV heeft zelfs een cropfactor van 3,8. Om dezelfde foto met die camera te maken, kan ik het diafragma bijna 4 stops verder open zetten! De voordelen van zo’n kleine camera zijn niet alleen het mooie uitklapbare scherm en de vele instelmogelijkheden maar vooral de gigantische verbetering in scherptediepte. Het wordt met zo’n camera weer iets lastiger om mooie vage achtergronden te produceren.
Nog extremer wordt het met een kleine camera met een 1/2,3″ sensor met een cropfactor van 5,62. Maak ik met een APS-C camera (bijvoorbeeld een Nikon D7100 met een cropfactor 1,5) een telefoto met een lens van 600 mm, dan kan ik ‘dezelfde’ foto met een bridgecamera (zoals de Nikon Coolpix B700) met een zoom op 160 mm maken. Op de Nikon D7100 zet ik het diafragma op 11. Om dezelfde scherptediepte te krijgen op mijn bridgecamera kan ik het diafragma op 11/(5,62/1,5) = 3,74 zetten. In de praktijk wordt dat een diafragma van 4. Het wordt natuurlijk nooit dezelfde foto: de lens is optisch lang niet zo goed en de kleine sensor levert nooit zulke goede resultaten, zeker niet bij weinig licht.
Voor een afleiding van de formules zie deze pagina